Vízen a felületi hullámok terjedési sebessége csupán néhány \(\displaystyle \mathrm{\frac{km}{h}}\). A hajók ennél szinte mindig gyorsabban haladnak, ezért a vízfelszínen haladó tárgyak esetén mindennapos jelenség az "orrkúp" hullám, ami mindig létrejön, ha a test a hullámterjedési sebességénél gyorsabban halad. Az alábbi képen egy kis csónaknál láthatjuk ezt fentről:

Ehhez a jelenséghez persze nem kell óceán és óceánjáró hajó, elég az ujjunkat mozgatni a vízben. Egy kártylap rugalmas anyagában is kialakul ilyen mechanikai hullám, ha a lövedék gyosabban halad benne, mint a lapban a hullám terjedési sebessége:
Hogyan alakul ki a mozgó test orránál ez a kúp alakú hullám? Ezt legjobban egy GeoGebra-szimulátorral itt érthetjük meg; csak állítsuk a csúszkán a mozgó test \(v\) sebességét nagyobbra, mint a hullámterjedés \(c\) sebessége.
A legtöbb mozgó test számára azonban az a közeg, amiben mozog, nem a víz felszíne, hanem a levegő, ahol viszont a hangsebesség a víz felszínén kialakulóhoz képest több százszor nagyobb \(\displaystyle \left(\approx 1200\ \mathrm{\frac{km}{h}}\right)\), márpedig kevés tárgy szokott ilyen nagy sebességgel haladni a levegőben, emiatt levegőben sokkal ritkábban kialakuló jelenség az orrkúp hullám, mint a víz felszínén. De a szuperszonikus (hangsebességnél gyorsabban haladó) vadászgépek, ágyúlövedékek, rakéták miatt a jelenség régóta az érdeklődés középpontjában áll (tudjuk is, hogy miért), így sok felvétel nézhető róla:
A "hangrobbanás" (sonic boom) kifejezés nem a legkifejezőbb, mert kicsit azt sugallja, mintha a hangsebesség átlépésekor következne be valamiféle robbanás (a repülőgépen). Valójában ilyen nincs, bár a hangsebesség elérésekor, sőt már a megközelítésekor is a repülő tárgy körüli örvénylések drasztikusan megváltoznak, sokszor felerősödnek, és ezek többlet mechanikai terhelést jelentenek a repülő szerkezet számára. Emiatt van, hogy a szuperszonikus repülők sokkal erősebbek felépítésűek kell legyenek, így drágábban megépíthetők, mint a szubszonikusak (azon túl, hogy mivel a légellenállás a sebesség négyzetével arányos, emiatt adott úton a szuperszonikus gépek sokkal több üzemanyagot is fogyasztanak, mint a szubszonikus repülők). A hangrobbanás azonban nem a repülőgépnél "keletkezik", hanem leggyakrabban a földön álló emberek által észlelt jelenség. Ugyanis a szuperszonikus repülőgép körül kialakuló orrkúp "külső felületén" nagyobb a nyomás, mint a légnyomás, az orrkúp belső felületén pedig kisebb. A repülő folyamatosan "húzza magával" ezt a nagy nyomású orrkúpot, és amikor ez a mozgó orrkúp a földön álló emberen "áthalad", akkor az ember egy hirtelen nyomásnövekedést majd pedig nyomáscsökkenést érzékel. Márpedig a hang nem más, mint nyomásingadozás. Ha a szuperszonikus repülő vízszintesen halad, akkor az orrkúpja sík talaj esetén egy parabolaív mentén találkozik a földfelszínnel; ezeken a pontokon tapasztalható éppen a "hangrobbanás" jelensége az ottani emberek, állatok, műszerek számára:
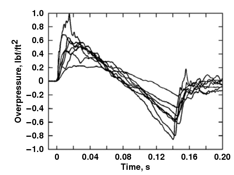
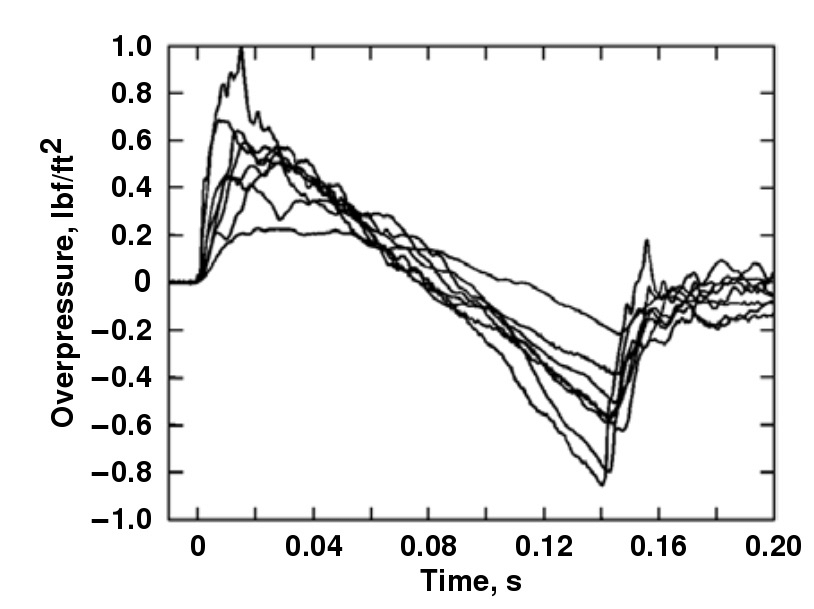
A tapasztalható nyomásnövekedést és nyomáscsökkenést az idő függvényében ábrázolva ilyen függvényeket kaphatunk:
A függvény alakja miatt ezt a jelenséget N-hullámnak hívjuk. A nyomásnövekedés mértéke jellemzően pár száz pascal, a legnagyobb mért érték \(7000\ \mathrm{Pa}\) volt, ami nagyon erős hangnak számít; ez már betörheti az épületek ablakait.
De ne higgyük, hogy csak a szuperszonikus vadászgépek, rakéták vagy a nagy sebességű lövedékek tudnak a hangsebességnél gyorsabban haladni. Őseink már évszázadok óta tudják ezt produkálni, ustorcsattogtatáskor. Az alábbi videón másodpercenként 35 ezer illetve 150 ezer képkockás felvétellel látható, amint az ostor vége egy rövid időre még a hangsebességnél is gyorsabban halad, és ekkor kialakul körülötte a fenti, jellegzetes hullámforma, létrehozva egy koncentrált, jelentős nyomásnövekedést, azaz egy erős hangot:
